Top.Mail.Ru
Ответы
Аватар пользователя
11лет
Изменено

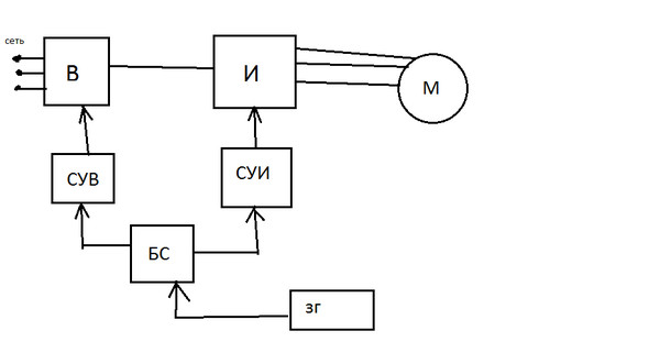
Система управления АИН с ШИМ

Необходимо реализовать систему управления для выпрямителя и инвертора в данной схеме, что бы работало ШИМ. Из чего будет состоять СУВ и СУИ и БС и ЗГ? Схему дал преподаватель. Если можно - ответ максимально подробный, схемы приветствуются. Нужна ли доработка схемы? С чем сравнивается в БС Uзадания из ЗГ?

По дате
По рейтингу
Аватар пользователя
Мастер
11лет

вот здесь почитайте
http ://epa.susu.ac.ru/assets/files/PromElectronik (убрать пробел)

Аватар пользователя
Мыслитель
11лет

ну вообще как-бы ШИМ актуален только для коллекторников. Для систем управления асинхронников шим-часть системы регулировки напряжения, ШИМ ставится практически в выпрямителе. Нуждаетесь в схеме-ищите принципиалки промышленных частотников



Видео по теме