Top.Mail.Ru
Ответы

Функция ЕСЛИ в excel

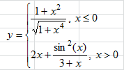
Помогите записать данную систему уравнений через функцию ЕСЛИ
Заранее спасибо)

По дате
По рейтингу
Аватар пользователя
Ученик
8лет

= ЕСЛИ (x > 0; 2*x + ((SIN(x))^2) / (3 + x); (1 + x^2) / ((1 + x^4)^(1/2)))

Аватар пользователя
Мастер
8лет

НЕ забываем читать справку:
Возвращает одно значение, если заданное условие при вычислении дает значение ИСТИНА, и другое значение, если ЛОЖЬ.

Функция ЕСЛИ используется при проверке условий для значений и формул.

Синтаксис

ЕСЛИ (лог_выражение; значение_если_истина; значение_если_ложь)

Лог_выражение — любое значение или выражение, принимающее значения ИСТИНА или ЛОЖЬ. Например, A10=100 — логическое выражение; если значение в ячейке A10 равно 100, это выражение принимает значение ИСТИНА, а в противном случае — значение ЛОЖЬ. Этот аргумент может использоваться в любом операторе сравнения.

Значение_если_истина — значение, которое возвращается, если аргумент «лог_выражение» имеет значение ИСТИНА. Например, если данный аргумент — строка «В пределах бюджета» , а аргумент «лог_выражение» имеет значение ИСТИНА, то функция ЕСЛИ отобразит текст «В пределах бюджета» . Если аргумент «лог_выражение» имеет значение ИСТИНА, а аргумент «значение_если_истина» не задан, возвращается значение 0 (ноль) . Чтобы отобразить слово ИСТИНА, необходимо использовать логическое значение ИСТИНА для этого аргумента. Аргумент «значение_если_истина» может быть формулой.

Значение_если_ложь — значение, которое возвращается, если «лог_выражение» имеет значение ЛОЖЬ. Например, если данный аргумент — строка «Превышение бюджета» , а аргумент «лог_выражение» имеет значение ЛОЖЬ, то функция ЕСЛИ отобразит текст «Превышение бюджета» . Если аргумент «лог_выражение» имеет значение ЛОЖЬ, а аргумент «значение_если_ложь» опущен (т. е. после аргумента «значение_если_истина» отсутствует точка с запятой) , то возвращается логическое значение ЛОЖЬ. Если аргумент «лог_выражение» имеет значение ЛОЖЬ, а аргумент «значение_если_ложь» пуст (т. е. после аргумента «значение_если_истина» стоит точка с запятой, а за ней — закрывающая скобка) , то возвращается значение 0 (ноль) . Аргумент «значение_если_ложь» может быть формулой.

Замечания

В качестве значений аргументов «значение_если_истина» и «значение_если_ложь» можно для построения более сложных проверок использовать до 64 вложенных друг в друга функций ЕСЛИ. (Применение вложенных функций ЕСЛИ показано в примере 3.) Чтобы проверить больше 64 условий, воспользуйтесь функциями ПРОСМОТР, ВПР или ГПР. (Применение функции ПРОСМОТР показано в примере 4.)
После вычисления аргументов «значение_если_истина» и «значение_если_ложь» , функция ЕСЛИ возвращает полученное значение.
Если один из аргументов функции ЕСЛИ является массивом (Массив. Объект, используемый для получения нескольких значений в результате вычисления одной формулы или для работы с набором аргументов, расположенных в различных ячейках и сгруппированных по строкам или столбцам. Диапазон массива использует общую формулу; константа массива представляет собой группу констант, используемых в качестве аргументов.) , при выполнении функции ЕСЛИ вычисляются все элементы массива.
Microsoft Excel содержит дополнительные функции, которые можно применять для анализа данных с использованием условий. Например, для подсчета числа вхождений текстовой строки или числа в диапазоне ячеек используйте функции СЧЁТЕСЛИ и СЧЁТЕСЛИМН. Для вычисления суммы значений, попадающих в интервал, заданный текстовой строкой или числами, используйте функции СУММАЕСЛИ и СУММЕСЛИМН.

Источник: Excel

Аватар пользователя
Просветленный
8лет

Синтаксис функции ЕСЛИ очень простой:

ЕСЛИ (лог_выражение; [значение_если_истина]; [значение_если_ложь])

лог_выражение – это любое значение или выражение, которое при вычислении дает значение ИСТИНА или ЛОЖЬ.

Что это значит? Выражение при вычислении дает значение ИСТИНА если это выражение верно.

В этой части необходимо проверить на соответствие выражения.

Например:

=ЕСЛИ (А1=10; [значение_если_истина]; [значение_если_ложь]) - если А1 равно 10, то выражение А1=10 даст значение ИСТИНА, а если не равно 10, то ЛОЖЬ

Другой пример

=ЕСЛИ (А1>30; [значение_если_истина]; [значение_если_ложь]) - если в ячейки А1 число больше 30, то А1>30 вернет ИСТИНА, а если меньше, то ЛОЖЬ