Помогите пожалуйста по математике
По дате
По рейтингу
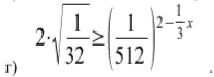
√(4/32) ≥ (1/512)^(2 - x/3)
(1/8)^(1/2) ≥ (1/512)^(2 - x/3)
(1/2)^(3/2) ≥ (1/2)^(18-3x)
3/2 ≤ 18-3x
3x ≤ 18-1,5
3x ≤ 16,5
x ≤ 5,5
√(4/32) ≥ (1/512)^(2 - x/3)
(1/8)^(1/2) ≥ (1/512)^(2 - x/3)
(1/2)^(3/2) ≥ (1/2)^(18-3x)
3/2 ≤ 18-3x
3x ≤ 18-1,5
3x ≤ 16,5
x ≤ 5,5