Призвать силу поиска...
Создать пост
Войти
Главная
Моя лента
Пространства
В ТОПЕ НА ОТВЕТАХ
Информационные технологии
О любви без купюр
А сейчас что-то совсем другое
Философский вопрос
Политические дебаты
Смотреть все
anonymous
1нед
Изменено
А сейчас что-то совсем другое
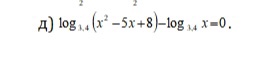
Помогите с примером пж
все должно быть расписано
мнения
0
0
2
По дате
По рейтингу
revolting_0203
Новичок
1нед
Дарова это я где ты мне говорил удали вк
0
0
Ответить
1 ответ