Призвать силу поиска...
Создать пост
Войти
Главная
Моя лента
Пространства
В ТОПЕ НА ОТВЕТАХ
Информационные технологии
О любви без купюр
А сейчас что-то совсем другое
Философский вопрос
Политические дебаты
Смотреть все
velvet_143
1мес
А сейчас что-то совсем другое
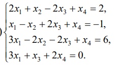
Решите методом Гаусса, пожалуйста!
мнения
0
0
1
По дате
По рейтингу
jjj_zex
Ученик
1мес
😎😎😎 я хз как такое решать но вот что выдала нейросеть лол
0
0
Ответить