Призвать силу поиска...
Создать пост
Войти
Главная
Моя лента
Пространства
В ТОПЕ НА ОТВЕТАХ
Шутки за 500
Мир и его люди
Настоящее хобби
Пикантно о любви
Бабочки в животе
Смотреть все
andrei_sokolov_469
12лет
Изменено
Сборная Домашка
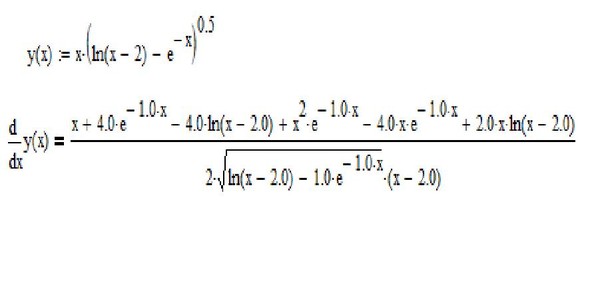
Помогите найти производную функции по x(ln(x+2)-e^(-x))^0.5. 5
Дополнен
ф-я (ln(x+2)-e^(-x))^0.5
Дополнен
ф-я (ln(x+2)-e^(-x))^0.5
знания
0
0
1
По дате
По рейтингу
leonid_fursov
Новичок
12лет
Ответ.
Источник: производная
4
4
Ответить