Top.Mail.Ru
Ответы

Как сократить дробь со степенями?

По дате
По рейтингу
Аватар пользователя
Ученик

при делении степени вычитаются

ответ: 1/8

Аватар пользователя
Гений

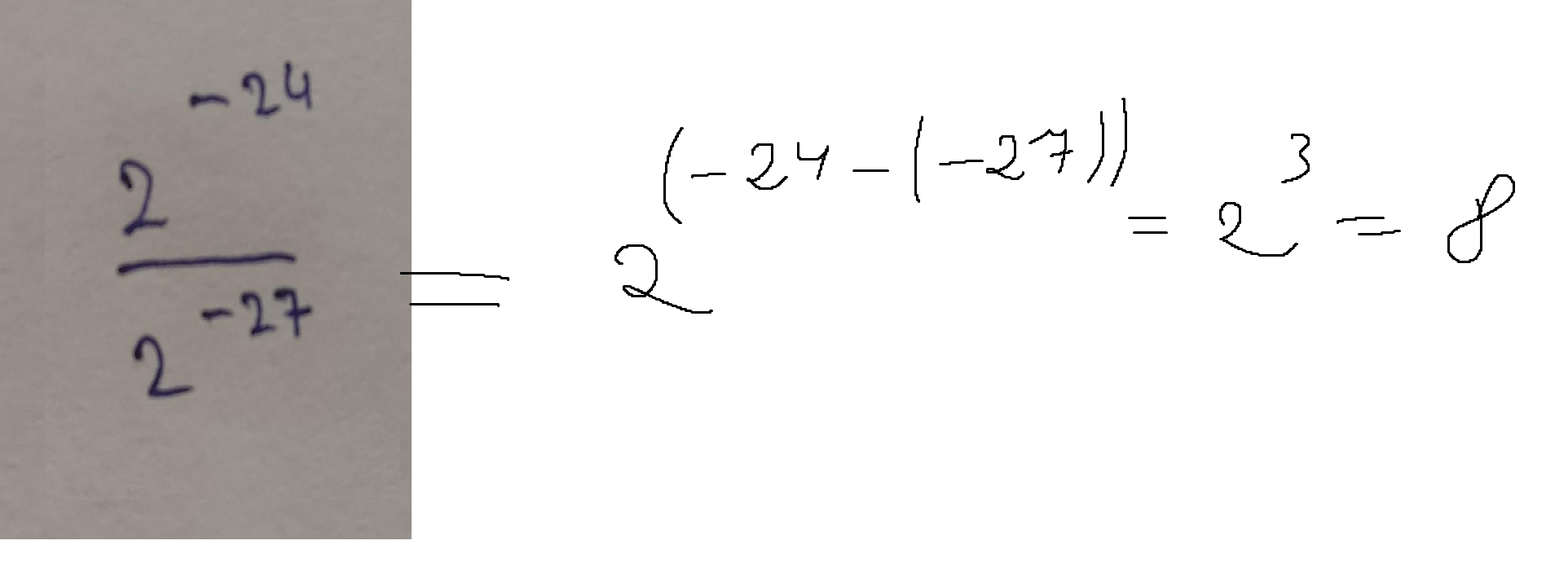
неверно,=2^(-24+27)=2^3=8

Аватар пользователя
Мастер

При умножении чисел степени можно сложить, а при делении вычесть. Но это работает только если сами числа одинаковые.

Аватар пользователя
Ученик

спасибо!

Аватар пользователя

Знак деления - это как вычитание показателей степени ((-24)-(-27)), потом нужно возвести 2 в степень 3)
ответ: 8



Видео по теме