Призвать силу поиска...
Создать пост
Войти
Главная
Моя лента
Пространства
В ТОПЕ НА ОТВЕТАХ
Информационные технологии
О любви без купюр
А сейчас что-то совсем другое
Философский вопрос
Политические дебаты
Смотреть все
student_2088
10лет
Изменено
Образовательный путь
+1
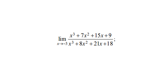
Кто нибудь, помогите гуманитарию с решением задачи)
нужно вычислить предел функции
знания
#решение задачи
0
0
2
По дате
По рейтингу
viktorov_15
Мастер
10лет
Lim(x->-3) [(x+1)(x+3)(x+3)] / [(x+2)(x+3)(x+3)] =-2/-1=2
1
1
Ответить
1 ответ