Top.Mail.Ru
Ответы

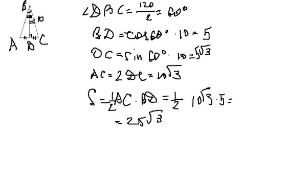
Найдите площадь равнобедренного треугольника с боковой стороной 10 см и углом между боковыми сторонами 120 градусов

По дате
По рейтингу
Аватар пользователя
Ученик
16лет

s= a*a*sin(120)= 10*10*sin(120)=100*0.87=87(cm2) Вот такое не сложное решение.

Аватар пользователя
Ученик
16лет