Top.Mail.Ru
Ответы

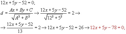
Найти уравнение прямой параллельной прямой 12x+5y-52=0 и отстоящей от нее на расстоянии 2

По дате
По рейтингу
Аватар пользователя
Новичок
12лет

Подставь в формулу расстояния от точки до прямой значения расстояния и коэффициентов заданного уравнения и получишь уравнение искомой прямой.